Skip to main content
Top menu links
IMTM Portal
Support cancer research
User account menu
Intranet
Log in
Language switcher
English
English
Czech
Home
About us
Mission & vision
Management
Administration
Science advisory board
IMTM board
Certificates
Media & PR
REACTOR conference
Technologies & services
Core facilities
Equipment
Clinical trials
Technologies
Research
Data access committee
Data management plan
Research programs
Research projects
Laboratories and Research groups
Publications
Product pipeline
Mendel-Zirm lectures
Careers
Why the IMTM?
Bachelor
Master
Doctoral
Vacancies
Information for foreigners
Contact
General contacts
Staff
How to find us
E-shop
Header image
Breadcrumb
Home
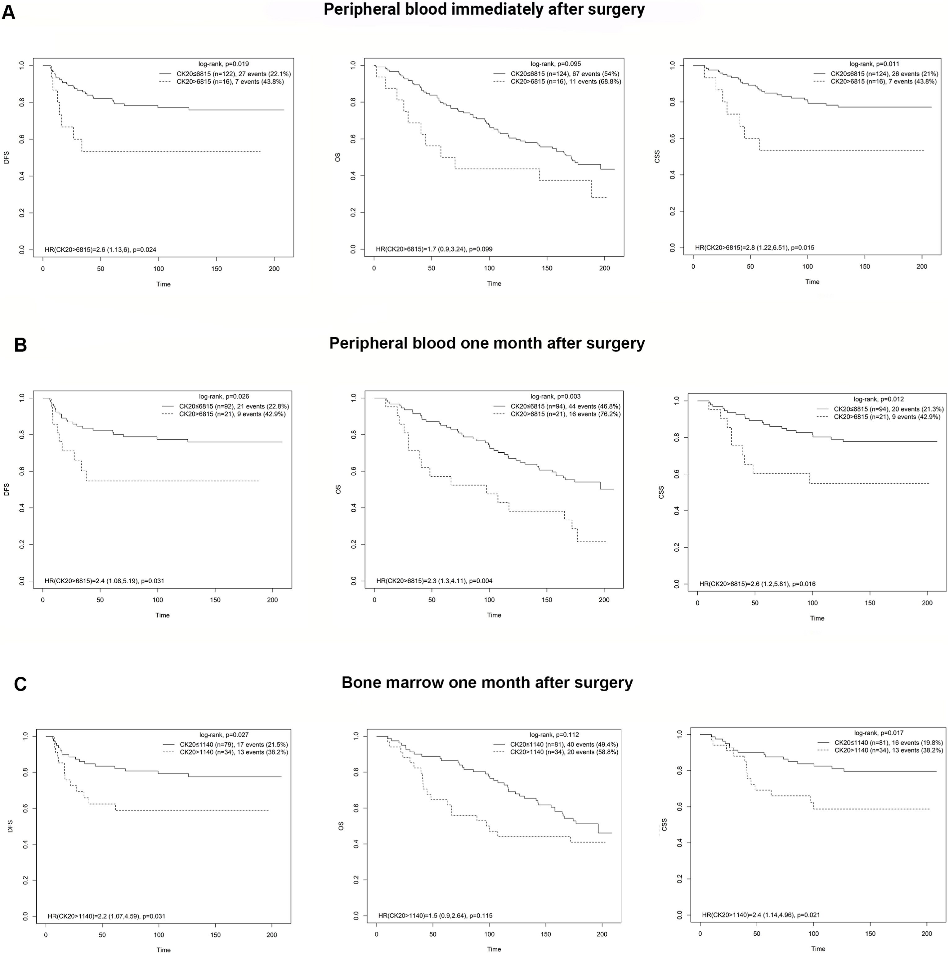
Long-term Prognostic Value of Cytokeratin 20 MRNA-positive Cells In Blood and Bone Marrow of Patients With Localized Colorectal Cancer
Long-term prognostic value of cytokeratin 20 mRNA-positive cells in blood and bone marrow of patients with localized colorectal cancer
SROVNAL, J.
, P. SKALICKÝ, A. PROKOPOVÁ,
J. VRBKOVÁ
,
M. VIDLAŘOVÁ
, M. DUDA, K. VYSLOUŽIL,
M. HAJDÚCH
Long-term prognostic value of cytokeratin 20 mRNA-positive cells in blood and bone marrow of patients with localized colorectal cancer. Surgical Oncology. 2026, 65, 102367, ISSN: 0960-7404, PMID:
41719830
,
PDF
.